Kuhanje sladovine
Kako smo najavili u prvom članku iz serije, nastavljamo dalje s pojedinim koracima u procesu kućne proizvodnje piva.
- Ukomljavanje
- Kuhanje
- Fermentacija
- Odležavanje
Kuhanje sladovine dolazi nakon početnog koraka ukomljavanja kojim ste iz slada dobili slatku tekućinu, sladovinu, bazu u koju dodajete hmelj i začine, koja nakon kuhanja, hlađenja i fermentacije postaje pivo.
Neovisno o načinu ukomljavanja kuhanje je na svim sustavima jednak proces. Jednostavno zakipite sladovinu i kuhate je u većini slučajeva 60 minuta, s pojedinim stilovima na 90 minuta, a samo rijetko iznad toga kad se želi postići efekt karamelizacije u kotlu. U određenim fazama dodajete hmelj i začine. Nakon završetka kuhanja ohladite je do temperature fermentacije (okvirno 17 – 20 °C za ale, 9 – 12 °C za lager). Hlađenje je poželjno napraviti u što kraćem roku.
Iako postoji određeni manji broj stilova piva kod kojih nije potrebno kuhati sladovinu, velika većina ipak zahtijeva ovaj korak. Bitne stavke koje se postižu u ovoj fazi su:
- Izomerizacija alfa kiselina
- Prijenos okusa i arome iz hmelja ili začina u sladovinu
- Sterilizacija sladovine
- Zaustavljanje enzimatskih procesa
- Koagulacija i taloženje proteina
- Isparavanje neželjenih okusa
- Koncentracija sladovine
Izomerizacija alfa kiselina i gorčina
Kako je zadnjih nekoliko stotina godina osnovni začin u pivu koji mu daje gorčinu i veliki postotak okusa i arome hmelj, važno je ukratko objasniti način na koji se u stvari gorčina od hmelja dobiva. Cvjetovi hmelja koji se koriste u pivarstvu osim vode, celuloze i proteina sadrže nekoliko spojeva koji su bitni za pivarstvo. Ovisno od sorte hmelja i uvjeta rasta njihov odnos i koncentracija je različita.
- Alfa kiseline
- Beta kiseline
- Esencijalna ulja
- Flavonoidi
Molekule alfa kiselina se pod utjecajem temperature izomeriziraju (izomerizacija – pretvorba molekula u drugu strukturu s jednakim brojem atoma) i otapaju u sladovini. Same alfa kiseline nemaju primjetnu gorčinu u početnom stanju, no izomerizirane alfa kiseline su gorke i kao takve idealan balans za slatkoću.
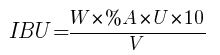
Stupanj izomerizacije i otapanja alfa kiselina u sladovini ovisi o temperaturama, vremenu, gustoći i pH vrijednosti sladovine. Jedinica kojom se mjeri potencijalna gorčina piva je IBU – international bitterness unit. Preciznije, 1 IBU je 1 miligram izo-alfa kiseline u 1 L piva.
Osnovna formula za izračun gorčine je sljedeća:

%A = postotak alfa kiselina
U = iskoristivost (decimalni prikaz postotka)
W = težina dodanog hmelja u gramima
V = finalni volumen u litrama
Iskoristivost nije potpuno definirana i postoje razne međuovisnosti. Uvijek je različita za bilo koju kombinaciju trajanja kuhanja i gustoće sladovine. Raste s trajanjem kuhanja, no opada s gustoćom sladovine. Nikad ne prelazi 30%.
Primjer tablice prema Tinsenthu.

Tablica 1. Decimalna iskoristivost alfa kiselina u odnosu na trajanje kuhanja i početnu gustoću sladovine.
Recimo da smo dodali 50g hmelja Saaz sa sadržajem od 3% alfa kiselina u 20L sladovine gustoće 1.050 i kuhamo 90 minuta. Izračun bi bio sljedeći:
%A = 3, U = 0.247 (prema tablici), W = 50 g, V = 20 L

Uobičajen postupak je da se hmelj dodaje u više faza tijekom kuhanja. Tako ako se na primjer kuha 60 minuta, određeni dio se dodaje na početku i taj dio definira uglavnom samo gorčinu jer ulja ispare. Na 30 do 15 minuta se dodaje dio koji će doprinijeti nešto gorčine i okusa. A od 15 prema kraju će ostati i miris. U engleskoj literaturi ta dodavanja se nazivaju bittering, flavor i aroma addition. U novije vrijeme kako raste popularnost aromatičnih hmeljeva s velikim postotkom alfa kiselina, sve više se koristi i tehnika hop bursting, dodavanje velike količine hmelja pred kraj kuhanja bez dodatka za gorčinu na početku. Sve kako bi ostalo što više okusa i mirisa, a ne bi se izvukla pretjerana i gruba gorčina.
Prijenos okusa i arome u sladovinu
Bilo da se radi o hmelju ili drugim začinima koje se želi osjetiti u pivu, bitan je balans i pažljivo razmatranje kakvo pivo želite postići. Prekratko vrijeme kontakta s kipućom sladovinom znači premalo ekstrakcije, a predugo pak volatilizaciju i isparavanje mirisa te promjenu okusa. Razni začini drugačije reagiraju pa tu nema nekih striktnih pravila, većinom je to od 10 do 0 minuta prije kraja kuhanja, ponekad čak i nakon početka hlađenja. Uvijek je bolje pogriješiti s manje nego više začina, jednako kao i kod kuhanja hrane. Lakše ih je dodati u nekoj kasnijoj fazi, nego oduzeti jednom dodano.
Sterilizacija sladovine
Kuhanjem se vrlo efektno eliminiraju bakterije koje su preostale nakon ukomljavanja ili zalutale tijekom pretakanja. Ovaj dio znači i da se u svim fazama prije kuhanja (ukoliko ne radite dulje pauze u kojima vam bakterije mogu napasti sladovinu) ne trebate pretjerano zamarati sa sterilnošću opreme i procesa. No jednom kad je sladovina kuhana i ohlađena, ponovno postaje idealna okolina za bakterije, tako da nakon toga više nemate taj komfor pa je sanitizacija svega u doticaju s hladnom sladovinom apsolutni uvjet za dobivanje kvalitetnog piva.
Zaustavljanje enzimatskih procesa
Kako ste u članku o ukomljavanju pročitali, dizanjem temperature iznad 80 °C neutraliziraju se preostali enzimi u pivu i nema daljnjih konverzija.
Koagulacija i taloženje proteina
Kod početka kuhanja proteini prisutni u sladovini polako počinju koagulirati, međusobno formirajući pjenoviti sloj na površini sve dok se ne počnu spajati zajedno i postanu teži od sladovine. Dodatno se u ovoj fazi događa i interakcija jednostavnih dušičnih sastojaka sladovine sa ugljikohidratima i polifenolima. U engleskoj literaturi nastajanje takvih nakupina se naziva hot break. Ovisno o sadržaju proteina u kombinaciji sladova koje ste koristili, imat ćete veću ili manju količinu takvog taloga. Ukoliko nemate dovoljno agresivno kuhanje, moguće je da ne postignete ovu fazu i tada će vam prevelika količina proteina završiti u pivu, jer ih ne možete fizički odvojiti kad nisu u većim nakupinama. Kad završite kuhanje, bitno je brzo ohladiti sladovinu, jer osim veće mogućnosti oksidacije postoji još jedna grupa proteina koja ne koagulira pod utjecajem visoke temperature, već je potreban nagli temperaturni šok. Ako imate sporo hlađenje, oni se ne talože i uzrokuju mutnoću u hladnom pivu (eng. chill haze). Iako su proteini nužni za razvoj i životni vijek kvasaca kasnije kod fermentacije, prevelika količina potencijalno dovodi do mutnoće i kraćeg roka trajanja piva.
Isparavanje neželjenih okusa
Jedna od bitnih stavki kod kuhanja, a pogotovo ukoliko je baza slad Pilsner, je isparavanje dimetil sulfida (DMS) iz sladovine. Pod utjecajem visoke temperature iz S-metilmetionina prisutnog u svijetlim sladovima stvara se DMS. Iako je u određenim količinama dozvoljen u profilu okusa nekih piva, u većim koncentracijama ima okus kuhanog kukuruza ili povrća i smatra se pogreškom. Vodena para ga uspješno odnosi iz sladovine, no bitno je da nemate kondenzaciju i kapanje kondenzata nazad u lonac. Zato je bitno kuhati s odvodom pare, što u kućnim uvjetima znači da nikad nemojte imati poklopljen lonac.
Koncentracija sladovine
Kako kuhanjem isparava dio vode iz sladovine, tekućina je sve gušća, tako da ukoliko ciljate određenu gustoću, a preračunali ste s previše vode u početku, duljim kuhanjem možete doći do željenih brojki. U tom slučaju imajte na umu izomerizaciju i gorčinu pa hmelj dodajte nakon što ste došli do tražene gustoće pred kuhanje.
Praktični primjer
Nakon ukomljavanja prvo provjeravamo koju točno količinu sladovine smo sakupili i ako je moguće provjerimo gustoću. Refraktometar je praktičan u ovoj fazi, no nije nužan. Informacija o količini i gustoći će vam omogućiti da izračunate koliko točno morate kuhati i ispariti ako ciljate željenu količinu ili gustoću.

Slika 1. 28 litara pred početak kuhanja
Dok se sladovina grije do kipljenja, izvažite hmelj za sva dodavanja. U ovom primjeru koristim pelete, a raspored je s naglaskom na okus i aromu jer sam htio dobiti mirisno pivo američkog pale ale tipa.

Slika 2. Styrian Wolf hmelj – peleti

Slika 3. Raspored dodavanja hmelja
U ovom slučaju radio sam jedno dodavanje hmelja prije no što je sladovina zakipjela ( eng. first wort hopping – FWH), to se ponekad koristi kako bismo dobili “ugodniju” gorčinu, no to su stvarno nijanse i teško će prosječni poznavatelji piva primijetiti razliku između toga i dodatka na 60 minuta.
Budite JAKO pažljivi kad kreće kipjeti jer lako može naglo porasti razina i ako se prelije, imate gadno čišćenje poslije. Kad krene kipjeti, prilagodite plamen i pokrenite timere ili zabilježite vrijeme. Timer s alarmom je praktičan za ovu fazu. Jednom kad se stabilizira, pokušavajte održati konstantno “kotrljanje” sladovine kako bi se ravnomjerno miješala i dobro isparavala.

Slika 4. Rolling boil
Kako vam prolazi vrijeme i okidaju se timeri, ubacujte pripremljeni hmelj i začine.
Ukoliko koristite spiralni potopni hladnjak (eng. immersion chiller), ubacite ga u sladovinu 15 min. prije kraja kuhanja kako biste ga sterilizirali samom sladovinom. Naravno, podrazumijeva se da je opran i čist od većih zaostataka i prašine.
Kad dođete na 0 min., ugasite plamen i krenite hladiti sladovinu. U slučaju hlađenja potopnim hladnjakom uvelike ćete ubrzati hlađenje laganim miješanjem (pazite da ne pjeni kako ne bi oksidiralo). Što se bakterija tiče, u kritičnoj ste fazi između 45 i 35 °C. Ja obično ohladim do 50 °C miješanjem i otklopljeno, no onda pažljivo zatvorim aluminijskom folijom i pustim da hladnjak unutra ohladi dalje sam. Kada dođe do nekih 18 – 20 °C, možete pretočiti u fermentor na način koji vam je najpraktičniji, a da odvojite hmelj i veću količinu taloga koji će se stvoriti nakon hlađenja.
Jednom kada je ohlađena kuhana hmeljena sladovina u fermentoru, pripremili ste kvascima hranu i okolinu pogodnu za razmnožavanje i fermentaciju. Ukoliko ih mazite njima pogodnim temperaturama fermentacije, oni će vam zahvaliti gotovim PIVOM. No o tome više u sljedećim člancima.
Reference:
‘How to Brew’ – John Palmer, Brewers Publications, 2006.
BYO časopis, Svibanj/Lipanj 2002.
Glenn Tinseth Hop page, http://realbeer.com/hops/

Pozdrav Damire, super su ti članci o ukomkljavanju i kuhanju. Napravio bih 20l IPE, hmelj Simcoe, Magnum, Centennial, Willamete, možda dry hop sa citrom.
Bio bih zahvalan ako imaš prijedlog za vrstu i količinu slada, količinu i redoslijed hmelja te količinu i vrstu kvasca.
Pozdrav Pero! U ovim parametrima je moguce napraviti hrpetinu recepata, tako da necu ni pokusavati, samo cu nabaciti nekoliko savjeta:
1. Mozda smanjiti broj hmeljeva, da dobijes prepoznatljivost u odredjenom smjeru, a ne samo “hmeljasto” pivo.
2. Kao bazu bih preferirao pale slad, nabacio gore do max 12% miksa karamelnih, eventualno nekih 5% Munich ili Vienne. Ganjaj 1.065 – 1.070 OG i nemoj previsoko ukomljavati.
3. US-05 kvasac je dosadan, ali pouzdan, ostavit ce ti samo hmelj, malt zaboravi, no IPA je, nek’ udara hmelj.
4. Magnum je pouzdan za gorcinu, ameri znaju jako odstupati od navedenih brojki dok dodju do nas, pa s njima radje igraj od 15min prema kraju. Simcoe i Citra, svakog po 100 g u dry hop 5 dana na 15 C i dobar si. Ako mozes nakon toga cold crashat, skinut s dry hopa i lagerirat jos tjedan dana hmelj ce ti dulje trajati i biti ugladjeniji.
5. Izbjegavaj kisik kod pretakanja i flasiranja kako god znas i umijes.
Sretno!
Prije svega hvala na brzom odgovoru, upravo sam to trebao. Ukoliko sam dobro shvatio i fermentaciju bih trebao držati na 15C (vjerojatno piše na kvascu). Molim te okvirno s kojim i koliko hmelja bi ti počeo pa prema Magnumu.
Pokušat ću dakle s 5kg slada u navedenim omjerima.
E da, idem i na kegging tako da ima velike šanse za katastrofu!
Pozdrav!
Ovisno od efikasnosti ukomljavanja tvojih 5 kg mi se cini preoptimisticno za OG koji sam naveo. 6 – 6.5 kg mi je realnije u homebrew sustavima. Ako ces ici s US-05 preporucam 17 C, i to unutar fermentora ili u najgorem slucaju na stijenki, mjeri nekako izolirano od prostora / ferm. komore. Hidriraj US-05 prema uputama prije ubacivanja, 1.5 – 2 vrecice za ovaj OG.
A sad, hmeljenje je prema preferencijama i za stil izmedju 40 i 70 IBUa, evo kako bih ja sebi slozio:
25.00 g Magnum [12.00 %] – Boil 60.0 min Hop 2 35.1 IBUs
10.00 g Centennial [10.00 %] – Boil 15.0 min Hop 3 5.8 IBUs
20.00 g Centennial [10.00 %] – Boil 10.0 min Hop 4 8.5 IBUs
30.00 g Centennial [10.00 %] – Boil 5.0 min Hop 5 7.0 IBUs
40.00 g Centennial [10.00 %] – Boil 0.0 min Hop 6 0.0 IBUs
Da dobijem oko 60 IBUa, poslije u dry hop Simcoe i Citra kako sam naveo. Probaj nabaviti 2017. berbu i imaj na umu da alfa kiselina i aromaticna ulja degradiraju sa staroscu i nacinom pakiranja i cuvanja hmelja.
Ako imas opremu za kegging znaci da imas i CO2, koristi ga kod pretakanja na dry hop ako ides u sekundar i napuni keg prije kegiranja, pomoci ce za smanjenje oksidacije.
Još jednom veliko HVALA! Nadam se da ću imati razloga javit se sa rezultatima.
Pozdrav!
Evo da javim da je super uspjelo (iznad očekivanja)! Manje više sve napravih kako si me uputio (nisam izdržo stavio i amarillo), početnićka sreća. Hvala još jednom na svemu, volio bih kad bi mogli malo porazgovarat, tek sad imam pitanja.
Pozdrav!